Nếu bà con đang trong giai đoạn lập kế hoạch xây dựng hệ thống tưới thì bài viết này thực sự hữu ích đối với bà con. Sau đây, Agmin sẽ chia sẻ đến bà con những trọng điểm khi lựa chọn hình thức tưới và tính toán các thông số cần thiết cho việc thiết kế hệ thống tưới cây.
1. Xác định đặc điểm thiết kế của hệ thống tưới

Thiết kế hệ thống tưới.
Để thiết kế nên một hệ thống tưới tiêu phù hợp với điều kiện canh tác, trước tiên chúng ta cần xét đến các yếu tố quan trọng gồm: loại cây trồng, điều kiện khu tưới, đất và nước.
Bằng việc trả lời các câu hỏi sau đây, chúng ta sẽ xác định được đặc điểm thiết kế cần có của hệ thống tưới:
- Kết cấu đất như thế nào? Đất có thể giữ được bao nhiêu nước?
- Diện tích của khu tưới là bao nhiêu?
- Địa thế của khu tưới?
- Có phân khu tưới thành nhiều khu nhỏ không?
- Mật độ trồng cây?
- Hệ thống rễ cây cắm sâu bao nhiêu?
- Nhu cầu nước tưới của cây trồng?
- Nguồn cung cấp nước? Chất lượng nước như thế nào?
- Chi phí thiết kế dự trù, bao gồm vật tư và nhân công là bao nhiêu?
2. Lựa chọn hình thức hệ thống tưới
Có 3 hình thức tưới phổ biến là: tưới bề mặt (surface irrigation), tưới trên cao (overhead irrigation) và tưới cục bộ (localized irrigation).
2.1. Hệ thống tưới bề mặt

Tưới bề mặt.
Tưới bề mặt là hình thức cấp nước cho đồng ruộng bằng trọng lực. Hệ thống tưới này được thiết kế sao cho nước từ mương cấp nước ở đầu trên đồng ruộng có thể chảy tràn xuống đầu dưới, nước chảy tới đâu thì thấm vào đất tới đó.
Điểm hạn chế của hệ thống tưới bề mặt là đòi hỏi nhiều nhân công và trong tất cả các hình thức tưới, đây là hình thức có hiệu suất sử dụng nước thấp (chỉ khoảng 55%), vì vậy không phù hợp với loại đất có tốc độ thấm cao như đất cát.
Các phương pháp tưới bề mặt bao gồm: tưới theo rãnh, tưới tràn và tưới ngập. Tưới theo rãnh chủ yếu phù hợp với các loại cây trồng theo hàng và chỉ một phần diện tích mặt ruộng được tưới. Trong khi đó, tưới tràn phù hợp với hầu hết các loại cây trồng, ngoại trừ các loại cây đòi hỏi tưới ngập, chẳng hạn như cây lúa.
2.2. Hệ thống tưới trên cao

Tưới trên cao.
Tưới trên cao bao gồm: tưới phun và tưới trục. Hiệu suất sử dụng nước của hình thức này cao hơn tưới bề mặt, tuy nhiên chi phí lắp đặt ban đầu khá cao.
2.3. Hệ thống tưới cục bộ

Tưới cục bộ vào vùng rễ của cây.
Tưới cục bộ được đánh giá là hiệu quả nhất trong tất cả các hình thức tưới và có hiệu suất sử dụng nước từ 90% trở lên. Dẫu vậy, tưới cục bộ chủ yếu phù hợp với khu tưới có diện tích nhỏ và nguồn nước tưới chất lượng tốt. Ngoài ra, tưới cục bộ yêu cầu chi phí lắp đặt và bảo trì tương đối cao.
Tưới cục bộ bao gồm: tưới nhỏ giọt, tưới ngầm cục bộ và tưới phun mưa cục bộ.
Bảng so sánh đặc điểm các hệ thống tưới:
![]()
3. Tính các thông số cần thiết cho việc thiết kế hệ thống tưới
3.1. Lưu lượng nước
Lưu lượng nước với tên gọi đầy đủ là lưu lượng nước dòng chảy được hiểu là lượng nước chảy ra từ một ống dẫn trong thời gian nhất định. Đại lượng này đề cập đến tỷ lệ sử dụng nước trong hệ thống tưới trên cao và tưới cục bộ.
Đơn vị dùng để đo lưu lượng nước là: m3/h hoặc gallon/phút.
Lưu ý: Để giảm thiểu xói mòn đất và chảy tràn, lưu lượng nước không được vượt quá tốc độ thấm của nước.
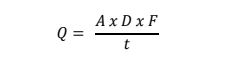
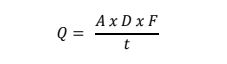
Công thức tính lưu lượng nước cần tối thiểu là:

Trong đó:
- A: Diện tích khu vực tưới
- D: Nhu cầu nước tối đa của cây trồng (ETc - tốc độ thoát hơi nước tối đa của cây trồng tính bằng mm)
- t: Thời gian tưới mỗi ngày (giờ)
- F=10 khi An tính bằng ha, Dn tính bằng milimet và Q tính bằng m3/h
- F=452,57 khi An tính bằng mẫu Anh, Dn tính bằng inch và Q tính bằng gal/phút.
Ví dụ:
Diện tích khu vực tưới là 8 ha (20 mẫu Anh), tốc độ thoát hơi nước tối đa của cây trồng là 7 mm/ngày (0,27 inch) và người trồng có thể tưới tối đa 14 giờ mỗi ngày.
Vậy, lưu lượng nước tưới cần tối thiểu là:
Q = (8 x 7 x 10) / 14 = 40 m3/h
hoặc (20 x 0,27 x 452,57) / 14 = 174,5 gal/phút.
3.2. Thời gian tưới
Thời gian tưới cũng là một thông số quan trọng cần được tính toán trong giai đoạn thiết kế hệ thống tưới. Thời gian tưới phụ thuộc vào các đặc tính của đất, hiệu suất của hệ thống tưới và khả năng rửa mặn của nước (liên quan đến chất lượng nước và giới hạn chịu mặn của cây trồng).
Công thức tính thời gian tưới:

Trong đó:
- RAW - Lượng nước sẵn có
- I - Tốc độ thấm của đất
- LR (Leaching requirement) - Khả năng rửa mặn của nước
- e - Hiệu suất tưới (tỷ lệ)
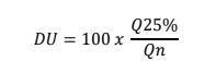
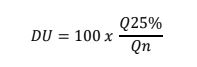
3.3. Hệ số tưới đồng đều
Tưới đồng đều 100% nghĩa là mỗi điểm trong khu vực tưới đều nhận được lượng nước tưới bằng nhau.
Một vài chỉ số được dùng để đánh giá tính đồng đều của các hệ thống tưới khác nhau như sau:
- DU – Phân phối đồng đều – dùng cho hệ thống tưới cục bộ và tưới phun mưa.
- Hệ số đồng đều CU – Christiansen – dùng cho hệ thống tưới phun mưa.

- Q25% - Lưu lượng trung bình của 25% số đầu tưới (emitter) có lưu lượng thấp nhất.
- Qn - Lưu lượng trung bình của tất cả các đầu tưới.
Phân loại hê số DU của hệ thống tưới:

Đối với khu vực tưới có từ 40 đến 100 đầu tưới, DU được tính bằng cách lấy mẫu ngẫu nhiên.
3.3.1. Đo lưu lượng (hay tốc độ dòng chảy) của đầu tưới
Đối với mỗi đầu tưới – tiến hành đo thể tích do đầu tưới cung cấp trong 5 phút và thực hiện phép tính sau:
Lưu lượng thực tế của đầu tưới (L/h) = (60 x V) / (1000 x t)
Trong đó:
- v – thể tích nước do đầu tưới cung cấp trong t phút (tính bằng cc).
- t - thời gian (tính bằng phút).
Ví dụ:
Một đầu tưới nhỏ giọt cung cấp 40 ml nước trong 5 phút.
Vậy, lưu lượng thực tế của đầu tưới = (60 x 40) / (1.000 x 5) = 0,48 L/h
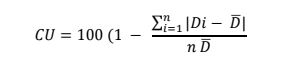
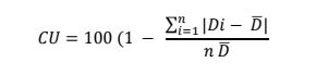
3.3.2. Hệ số đồng đều của Christiansen (CU)
Hệ số CU được áp dụng phổ biến cho hệ thống tưới phun mưa.

Trong đó:
- Di - lượng nước trong một bình chứa (catch can) riêng lẻ
- D̅ - lượng nước trung bình trong tất cả các bình chứa
- n - số lượng bình chứa

Bình chứa nước (catch can) được dùng để tính hệ số tưới đồng đều CU.
Phân loại hệ số CU của hệ thống tưới phun mưa:

Biên tập bởi Agmin.vn