Bên cạnh việc đánh giá chất lượng nguồn nước tưới, cách tính nhu cầu về nước của cây cũng là một vấn đề chúng ta cần đặc biệt quan tâm. Sau đây, mời bà con cùng Agmin tham khảo các phương pháp được sử dụng để ước tính nhu cầu về nước của cây.
1. Thoát hơi nước và nhu cầu nước của cây
Thoát hơi nước là một phần trong chu trình hấp thụ nước của thực vật và là sự bốc hơi nước từ bề mặt lá (tương tự như đổ mồ hôi) để chuyển vào khí quyển. Bề mặt lá càng lớn thì tỷ lệ nước được hấp thụ cũng như tốc độ thoát hơi nước càng cao.
Nhu cầu về nước của cây là lượng nước mà cây cần để đáp ứng quá trình thoát hơi nước của bản thân và lượng nước thất thoát vào khí quyển do bốc hơi từ đất + bề mặt lá. Quá trình thoát hơi nước từ lá (transpiration) và sự bốc hơi nước từ đất (evaporation) được gọi là chung là thoát-bốc hơi nước (evapotranspiration, viết tắt là ET).
Quá trình thoát-bốc hơi nước (evapotranspiration).
Có nhiều yếu tố ảnh hưởng đến tốc độ ET, nhưng chủ yếu là các điều kiện thời tiết bao gồm: nhiệt độ, độ ẩm và bức xạ.
2. Công thức tính nhu cầu nước của cây
2.1. Cách tính giá trị ET tham chiếu (ETo)
ET tham chiếu (ETo) được định nghĩa là quá trình ET của một loại cỏ giả định với chiều cao là 0,12m, lực cản bề mặt là 70 s m-1 và suất phản chiếu là 0,23.
- Lực cản bề mặt liên quan đến sự khuếch tán hơi nước qua khí khổng.
- Albedo là thước đo hệ số phản xạ, suất phản chiếu càng cao thì bức xạ mặt trời bị phản xạ trở lại từ bề mặt càng nhiều.
Có một vài phương pháp khác nhau để xác định ETo. Trong đó, phương pháp phổ biến nhất là sử dụng chảo bốc hơi (evaporation pan) và phương trình Penman-Monteith.
2.1.1. Phương pháp chảo bốc hơi
Đối với phương pháp chảo bốc hơi, người ta sử dụng một cái chảo có kích thước tiêu chuẩn, ví dụ: chảo “Loại A” hình trụ, có đường kính 120,7 cm và chiều sâu 25 cm. Hoặc chảo Sunken Colorado hình vuông, có kích thước lần lượt là 92 x 92 x 46 cm.
- Đầu tiên, đổ đầy chảo với một lượng nước cụ thể. Sau đó, mỗi ngày đo lượng nước bốc hơi từ chảo, đơn vị đo là milimet hoặc inch.
- Ghi chú các điều kiện môi trường xung quanh nơi đặt chảo, chẳng hạn như tốc độ gió và độ ẩm.
- Lấy lượng nước bốc hơi từ chảo nhân với một hệ số, gọi là hệ số Kpan, để tính đến sự thay đổi thuộc tính của mỗi loại chảo và điều kiện môi trường.
Theo đó, giá trị ETo được tính như sau:
ETo = Kpan x Epan
Trong đó:
- Epan: lượng nước bốc hơi từ chảo (mm/ngày)
- Kpan: hệ số K

Phương pháp chảo bốc hơi.
2.1.2. Phương trình Penman-Monteith
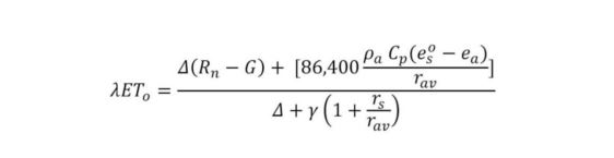
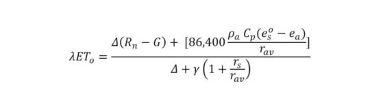
Phương trình Penman-Monteith dựa trên sự cân bằng năng lượng, khí động học và lực cản bề mặt để ước tính giá trị ETo.

- G = mật độ thông lượng nhiệt của đất (MJ m-2 day-1)
- Rn = bức xạ thực tế tại bề mặt cây trồng (MJ m-2 day-1)
- ρa = mật độ không khí (kg m-3)
- Cp = nhiệt dung riêng của không khí khô (MJ kg-1 ̊C-1)
- es0= áp suất hơi bão hòa trung bình (kPa)
- ea = áp suất hơi trung bình của không khí xung quanh được đo mỗi ngày (kPa)
- rav = lực cản khí động bề mặt khối đối với hơi nước (s m-1)
- rs = lực cản bề mặt của tán cây (s m-1)
- ɣ = hằng số độ ẩm (kPa ̊C-1)
- Δ = hệ số góc của đường cong áp suất hơi [kPa ̊C-1]
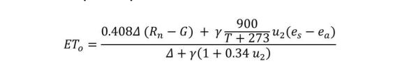
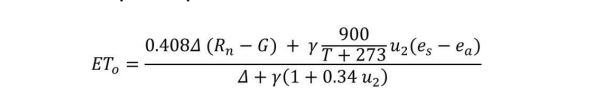
Ngoài ra, Tổ chức Lương thực và Nông nghiệp (FAO) đã đề xuất 1 phương trình đơn giản hơn như sau:

Trong đó:
- T: nhiệt độ không khí trung bình (°C)
- u2: tốc độ gió (s m-1) ở độ cao 2 m so với mặt đất
2.2. Cách tính giá trị ET của cây (ETc)
Bởi vì lượng nước thực tế bay hơi khỏi cây khác với lượng nước bay hơi được đo bởi các phương pháp tham chiếu, nên ET của cây (ETc) cũng sẽ khác với ET tham chiếu (ETo).
Lúc này, người ta lấy ETo nhân với một hệ số Kc để ra được giá trị ETc. Công thức như sau:
ETc = Kc x ETo
Trong đó, Kc được xác định bởi loại cây trồng, các giai đoạn sinh trưởng và điều kiện khí hậu. Hệ số Kc biểu thị cho các thuộc tính của cây như là: mật độ và vị trí khí khổng, chiều cao của cây, v.v…
Lưu ý:
- Đối với 1 loại cây cụ thể, hệ số Kc không phải bất biến, mà là phụ thuộc vào sự thay đổi của diện tích lá, lớp phủ mặt đất và nhu cầu nước trong mỗi giai đoạn sinh trưởng của cây. Do đó, giá trị ETc của mỗi loại cây thường tăng lên khi cây phát triển.
- Hệ số Kc nằm trong khoảng từ 0,3 đến 1,25.
- Hệ số Kc của những loại cây cao lớn và được trồng với mật độ dày đặc thường lớn hơn 1.
Ví dụ: Với hệ số Kc của cây ở giai đoạn tăng trưởng ban đầu là 0,3 và ETo là 7mm, chúng ta tính được nhu cầu nước của cây là:
ETc = Kc x ETo = 0,3 x 7 = 2,1 mm
Biên tập bởi Agmin.vn